版纳植物园揭示间种世界三大饮料植物对橡胶树水分利用的影响
在西双版纳和东南亚许多国家,橡胶树多是以大面积的单一种植为主。尽管橡胶种植产生了巨大的经济效益,但漫山遍野的纯橡胶林对生态环境也造成了极大的负面影响(生物多样性丧失、土壤退化、水土流失等),尤其是在生态水文功能方面,橡胶树挥霍性的用水方式等所导致的水源枯竭现象日益明显。因此,橡胶种植业面临着严峻挑战,亟待优化其单一的种植方式和发展友好型生态胶园模式。但在实际应用中,因受制于经济利益的驱使,对间作植物的选择上存在着一定的盲目性,也缺乏对其水分有效获取方面的认知。
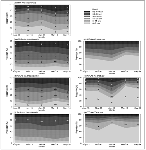
中国科学院西双版纳热带植物园生态水文研究组的博士研究生吴骏恩在其导师刘文杰的指导下,采用稳定同位素(δD、δ18O、δ13C)等方法,对西双版纳广泛种植的纯橡胶林、间种三大饮料植物的橡胶-茶叶、橡胶-咖啡、橡胶-可可复合模式的水分获取方式进行了相关实验。结果表明,橡胶树拥有十分灵活的水分获取策略,这不仅体现在其应对季节性干旱方面,还表现在种间水分的竞争方面——种间水分的竞争加强了橡胶树的水分利用效率(WUE);在橡胶-可可复合系统内,橡胶、可可的用水策略均为挥霍型水分利用方式,使得该系统的土壤水分低于纯橡胶林;在橡胶-咖啡复合系统内,其种间水分的竞争最强,使得该系统内橡胶树的用水策略调整为保守型(WUE增强),但强烈的水分竞争却不利于作物生产;在橡胶-茶叶复合系统内,其种间水分的适度竞争不仅提升了橡胶树的水分利用效率、促进了系统生产力,还增强了土壤的保水能力;橡胶树、间作植物的根系分布形式和可塑性是调控其水分有效获取的重要因素。因此,在间作植物的选择上,应注重其根系的较低可塑性(较固定的水分获取深度)、较短的浅层侧根、并和橡胶树浅层根系存在适度的重叠。
相关结果以Can intercropping with the world’s three major beverage plants help improve the water use of rubber trees? 为题,在线发表在生态学著名刊物Journal of Applied Ecology上。
本研究得到国家基金(31570622)、“135”项目突破三(KFJ-EW-STS-084)、云南省重点项目(2013FA022)资助。
纯橡胶林和间种可可、茶叶、咖啡的复合栽培模式
纯橡胶林和间种茶叶、咖啡、可可的复合林土壤水分状况
纯橡胶林、复合橡胶林对不同水源的利用状况
