昆明植物所在马先蒿属同域分布物种间生殖隔离研究中取得新进展
近缘物种在同一群落中共存机制是进化生态学关注的热点问题之一。物种是进化过程中一系列连续的物种形成事件的结果,往往处于动态的变化过程中。种间生殖隔离的研究能深入理解物种形成的动态过程和鉴定物种形成的关键性状和生态因子。马先蒿属(Pedicularis)是列当科(Orobancheaceae)半寄生植物,我国分布有360余种,其中约2/3的种类集中分布于喜马拉雅-横断山区。在该区域的高山和亚高山草甸和森林中,马先蒿属的多个物种常常同域分布,同期开花,并且共享熊蜂属(Bombus)的传粉昆虫。马先蒿属物种的机械隔离已有大量研究,表明同域分布物种由于花冠形态多样化,其花粉落置在同一传粉熊蜂身体的不同部位,从而减少种间花粉传递,具有极强的传粉前隔离。然而,到目前为止,传粉后隔离对这些种对的总生殖隔离的贡献以及对该属生殖隔离多个隔离因子的标准量化研究尚未见报道。
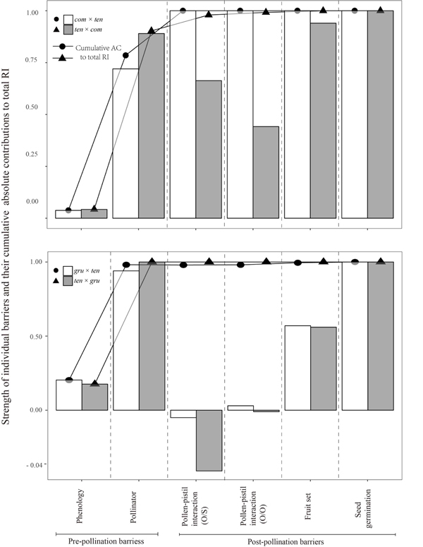
中国科学院昆明植物研究所植物多样性演化和生态适应团队王红研究组对玉龙雪山同域分布的马先蒿种对,即同时具有花蜜和花粉报酬的康泊东叶马先蒿P. comptoniifolia和纤裂马先蒿P. tenuisecta,以及只提供花粉报酬的鹤首马先蒿P. gruina和纤裂马先蒿P. tenuisecta的传粉前和传粉后六个隔离因子的强度进行了精细的量化研究。研究表明三种马先蒿共享四种熊蜂(桔尾熊蜂B. friseanus、安韦熊蜂B. avanus、灰熊蜂B. grahami和疏熊蜂B. remotus)作为传粉昆虫。熊蜂个体的访花忠诚度较高,然而种间交叉访问依然会发生,特别是在花蜜报酬的两种马先蒿间出现种间交叉访问的频率较高,因此传粉前隔离并不完全。传粉后隔离在两个种对中均完全阻断了基因流,研究发现两个传粉后隔离的不亲和识别位点在于花粉管萌发阶段和种子形成阶段。该研究提出基于不同种花粉落置在熊蜂体表不同位置的花部隔离对减少种间花粉干扰具有重要性,同时指出这种传粉前隔离模式在以往的研究中被过度强调,而传粉后隔离对现存马先蒿属的物种共存和维持可能起着更加重要的作用的新观点。
昆明植物所博士研究生梁欢为该论文第一作者,王红研究员和任宗昕副研究员为通讯作者。相关研究以“Impact of pre- and post-pollination barriers on pollen transfer and reproductive isolation among three sympatric Pedicularis (Orobanchaceae) species”为题发表在国际植物学刊物Plant Biology上。该研究得到科技部重大研究计划项目(2014CB954100)和国家自然科学基金-云南省联合基金重点项目(U1502261)等的支持。
图一 3种马先蒿及传粉昆虫熊蜂腹触式和背触式访花
图二 荧光显微镜下花粉管进入马先蒿花柱、子房和胚珠
图三 两个马先蒿种对中6个隔离因子的强度及其对总隔离的贡献
