氮元素影响与茶叶风味相关的代谢产物积累模式调控多组学研究取得新进展
茶是中国的“国饮”,也是世界公认的最大天然非酒精饮料。茶起源于中国,中国是世界上最早发现和利用茶树的国家,也是世界主要产茶国之一。茶产业已经成为我国国内消费和出口创汇的重要经济支柱之一。在实际生产中,合理使用氮肥不仅能够增加茶叶的产量,而且能够提高茶叶中氨基酸、嘌呤类生物碱等化合物的含量,改善茶叶品质。前人研究表明,不同氮水平和氮形态(铵态氮,NH4+-N;硝态氮,NO3--N)对茶叶中代谢物的积累模式的影响具有显著的差异,但是其中的调控机理仍不清楚。
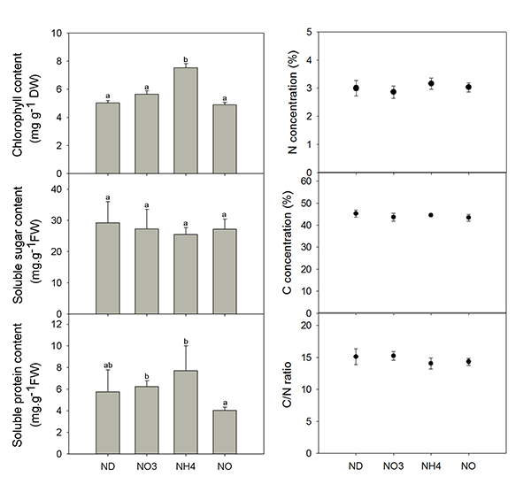
中国科学院昆明植物研究所植物种质资源、基因组学与生物信息学团队高立志研究组以一年生云南大叶茶苗(Camellia sinensis var. assamica)为研究材料,采用代谢组学和转录组学相结合的技术手段,对不同氮水平和氮形态下生长一定时期的茶苗的生理指标、代谢物积累和基因表达模式进行了深入的研究分析。研究发现,不同氮条件处理下,茶叶中黄酮类物质的积累及其相关基因的表达模式都表现出最为显著的差异。缺氮条件下(ND),茶树大量积累黄酮类物质,研究组推测这与ND中黄酮类物质合成基因,包括F3H, FNS, UFGT, bHLH35和bHLH36的高表达密切相关。与缺氮茶苗相比,提供氮元素(NO3, NH4 和NO)的茶苗叶片中显著富集脯氨酸、茶氨酸和谷氨酰胺,尤其是在铵态氮处理的茶苗叶片中最为明显。进一步的分析发现,作为耐铵和喜铵植物,在铵态氮处理的条件下,茶树通过高效的氮吸收、运输和同化以及活跃的蛋白质降解过程,大量富集茶叶风味物质茶氨酸以适应过量的铵离子,避免伤害。该研究为全面揭示不同氮水平和氮形态对茶叶中风味物质积累模式的调控机理奠定了重要基础。
该研究成果以“Metabolomics and Transcriptomics Analyses Reveal NitrogenInfluences on the Accumulation of Flavonoids and Amino Acids in Young Shoots of Tea Plant (Camellia sinensis L.) Associated with Tea Flavor”为题,发表于国际著名期刊Journal of Agricultural and Food Chemistry。该研究得到了国家自然科学基金、云南省应用基础研究计划、云南省创新团队等项目的支持。
不同氮条件对茶树叶片中叶绿体、可溶性糖和蛋白质,总碳(C)和总氮(N)含量以及C/N比的影响
基于LC-MS/MS的不同氮条件下茶树叶片中所有代谢物主成分分析以及与PC1和PC2正负相关的排名前10种代谢物的热图分析
不同氮条件下茶树叶片中N和C代谢通路相关基因表达与代谢物积累模式差异
