云南天文台对毫秒脉冲星的最大吸积质量作出限制
国际天体物理学杂志The Astrophysical Journal近期在线发表了中国科学院云南天文台李振威博士与合作者的研究成果。该成果展示了脉冲星自转对毫秒脉冲星吸积质量的影响,进而可以对观测到的脉冲星诞生质量作出限制。
毫秒脉冲星属于天文学中的基础前沿领域,是FAST(Five-hundred-meter Aperture Spherical radio Telescope)的主要目标源之一。大质量恒星在演化末期发生超新星爆炸可能会形成一颗脉冲星,其中毫秒脉冲星是一类通过吸积伴星物质使自转速度达到毫秒量级的脉冲星。毫秒脉冲星的形成机制对理解致密星吸积物理和角动量损失机制至关重要。此外,毫秒脉冲星的质量分布包含一些重要物理信息。例如对毫秒脉冲星的诞生质量的研究有助于理解大质量恒星末期演化及超新星爆炸机制,毫秒脉冲星的最大质量则可以用来约束中子星物态方程以及理解中子星与恒星级黑洞的质量间隙。由于毫秒脉冲星的形成涉及物质吸积过程,毫秒脉冲星的吸积质量对理解脉冲星质量分布具有重要意义。
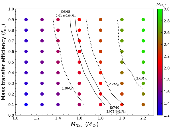
该研究考虑了毫秒脉冲星在吸积过程中的自转演化,并对毫秒脉冲星的吸积质量进行了深入探究。当脉冲星吸积少部分物质后,其自转周期可以达到毫秒量级,毫秒脉冲星磁层施加的强大离心力阻止物质被吸积(即螺旋桨效应)。该过程使得脉冲星自转逐渐变慢。因此,当螺旋桨效应在后期物质转移过程失效时,脉冲星仍旧可以吸积一部分物质。研究人员通过大量的双星演化模拟发现,毫秒脉冲星的最大吸积质量与初始脉冲星质量呈正相关,即相比于低质量脉冲星,大质量脉冲星通常可以吸积更多物质。在此基础上研究人员进一步给出了吸积后的最大脉冲星质量随物质转移效率和初始脉冲星质量变化的关系(见图1)。利用该结果可以进一步对观测脉冲星诞生质量作出限制。
该研究成果受到国家自然科学基金等项目的资助。

图1.在给定物质转移效率和初始脉冲星质量情况下,吸积后的最大脉冲星质量。
