云南天文台在经典新星领域获进展
近日,中国科学院云南天文台博士研究生郭云浪与王博研究员在经典新星领域获得了新进展,研究结果可以用来限制经典新星爆发过程中的白矮星混合理论。这一成果 以“Mixing fraction in classical novae”为题发表在2022年4月出版的《天文学与天体物理学 (A&A) 》杂志上。
经典新星是发生在白矮星表面的热核反应现象, 对星系化学演化起着重要的作用, 同时也是Ia型超新星的前身星候选体。在密近双星系统中,白矮星通过洛希瓣从它的伴星上吸积物质,一旦在白矮星表面积累了足够的物质,就会触发失控的热核反应,形成新星爆发(见图1)。在新星爆发期间, 光度急剧增长, 产生的能量足以抛掉大部分被吸积的物质。通过对新星抛射物的研究,可以了解新星系统的特征, 比如白矮星质量、吸积率以及伴星的性质等。
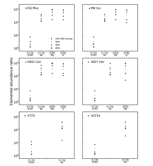
近几十年来, 观测上显示绝大部分的新星抛射物中有C,N,O,Ne,Na,Mg以及Al等金属增丰现象,这说明在新星爆发过程中存在吸积物质与白矮星自身物质的混合 (即白矮星混合)。然而, 新星爆发中的白矮星混合过程仍不清楚。为此,研究人员对新星爆发过程中的白矮星混合度和新星抛射物进行了系统性研究,提出用抛射物中的四个元素丰度比值来测定新星爆发过程中的白矮星混合度,即(H + He)/∑CNO, (H + He)/Ne, ∑CNO/Mg和 ∑CNO/Si(见图2)。项目组发现在新星系统中,小质量白矮星会导致高的白矮星混合度。
该成果受到了中国科学院西部之光交叉团队-重点实验室合作专项以及国家自然科学基金的支持。

图1. 白矮星双星系统中新星爆发示意图(图片来源:https://phys.org/news/)

图2.测定新星中的白矮星混合度,其中黑色五角星为观测值。
