资源保守策略有利于附生植物种群的恢复
叶片化学计量特征可以表征植物的生态策略,并与植物对气候变化的响应相关。附生植物是热带亚热带生态系统中重要的结构性组分,它们在生态系统生物多样性格局形成及其维持、养分与水分循环过程中具有重要作用,而且它们对气候变化敏感。然而,目前有关附生植物对气候变化的响应与叶片化学计量的关系尚无相关研究报道。
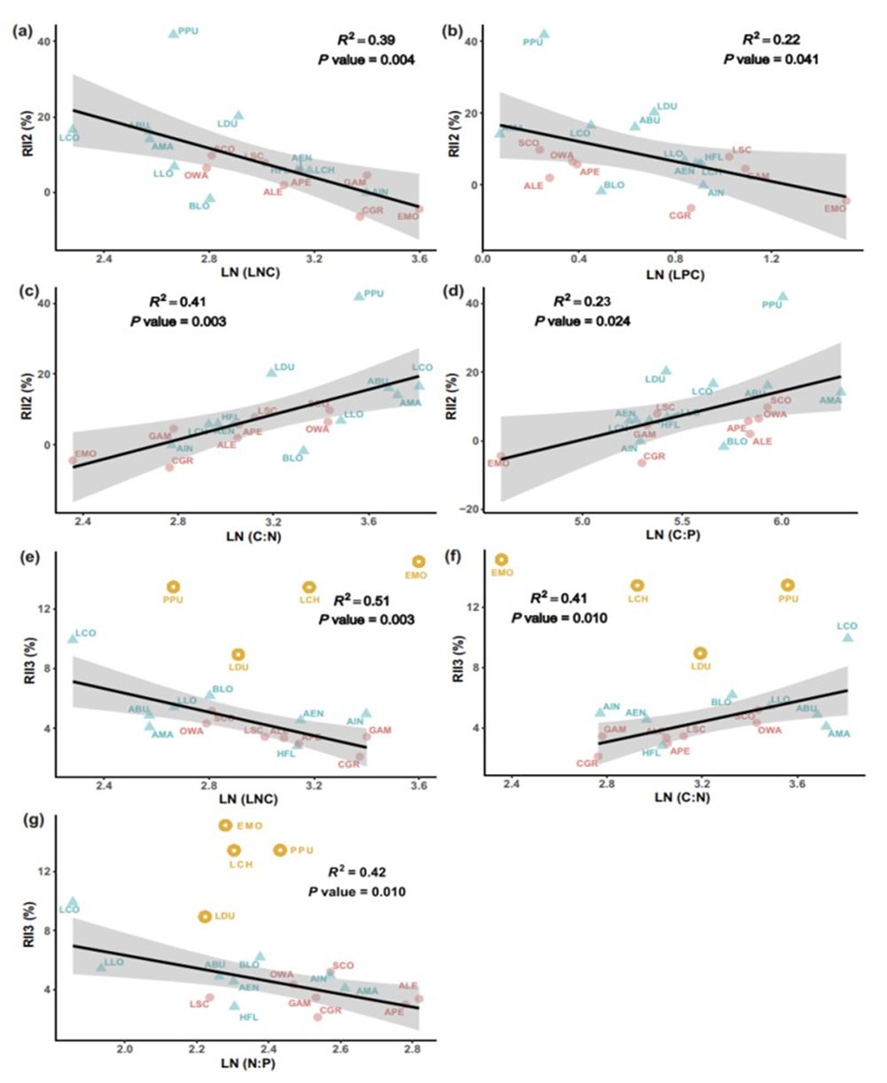
2009年底至2010年春季我国西南地区发生了严重干旱,给当地农、林业生产造成极大的经济损失,也对自然森林生态系统产生了严重影响。中国科学院西双版纳热带植物园恢复生态研究组和哀牢山生态站的科研人员基于哀牢山亚热带山地森林1公顷动态样地中19种附生维管植物在2005年、2010年、2015年和2020年4次连续的调查数据,研究分析了不同附生维管植物的种群动态及其对极端干旱的响应,探讨了附生维管植物叶片化学计量性状与种群动态的关系。研究结果显示:经历极端干旱后,所研究19种附生植物中有14种个体数量明显减少,所有物种种群数量均为负增长。2010年以后附生维管束植物总个体数逐渐恢复,其中2010-2015年期间附生维管束植物个体数的增加与叶片N、P浓度呈显著负相关,与叶片C:N比呈显著正相关。研究发现叶片养分浓度较高的附生维管植物种群对极端干旱的恢复能力较弱,表明资源保守策略有利于附生植物种群的恢复。该研究结果还表明,生态化学计量学可以为预测维管附生种群对气候变化的响应提供一个有用的框架。
相关研究结果以“Vascular epiphyte populations with higher leaf nutrient concentrations showed weaker resilience to an extreme drought in a montane cloud forest”为题在国际植物生物学期刊Plant Biology上发表。在读博士研究生胡涛为该文第一作者,刘文耀研究员为该文通讯作者。该研究得到了国家自然科学基金、中科院生物多样性保护策略等项目的资助。

图1. 2009年9月至2010年2月干旱期与同期的月降雨量比较

图2. 附生维管植物化学计量性状与种群动态的关系
