昆明植物所在香茶菜属植物杂二萜的发现与仿生合成研究中取得新进展
环丁烷作为重要的结构单元广泛存在于众多天然产物中,如萜类、黄酮、甾体和生物碱。含有环丁烷片段的天然产物不仅具有独特的结构,同时具有多样的生物活性,引起了广泛关注。近十余年来,中国科学院昆明植物研究所普诺·白玛丹增专题组在对香茶菜属植物帚状香茶菜(Isodon scoparius)的研究中,先后发现了15个含有环丁烷片段的杂二萜分子:scopariusic acid(Org. Lett. 2013, 15, 4446),scopariusicides A–M(Org. Lett. 2015, 17, 6062;Tetrahedron Lett. 2021, 73, 153133;Bioorg. Chem. 2022, 127, 105973)和(?)-isoscopariusin A(Angew. Chem. Int. Ed. 2021, 60, 12859)。
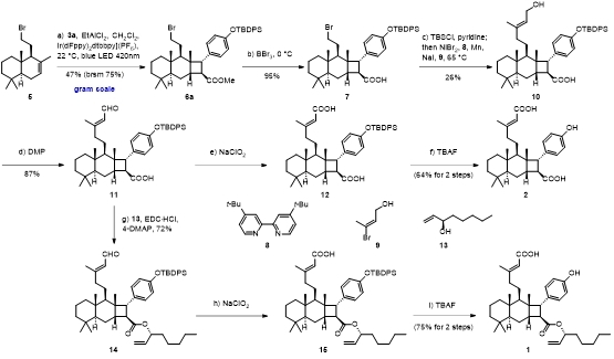
近期,专题组对该种植物中所发现的两个具有6/6/4骨架杂二萜(+)-isoscopariusins B(1)和C(2)开展了合成研究。其中,化合物1是(?)-isoscopariusin A的非对映异构体,而化合物2为C-8'羧酸取代的杂二萜(图1)。化合物1和2的构型确证存在一定的挑战,且天然含量较低也限制了对其开展生物活性研究。为解决以上问题,对化合物1和2开展了仿生合成研究(图2)。关键的合成挑战在于如何高效构建具有四个立体中心的环丁烷中间体。为此,研究人员发展了以简单易得的三取代烯烃5和4-OTBDPS-肉桂酸甲酯3a为底物,成功实现基于路易酸和铱光催化剂协同催化的分子间光化[2+2]环加成反应一步构建复杂的环丁烷中间体6a,并且实现了克级规模制备,其绝对构型通过单晶X-ray衍射得以确证。随后6a经过选择性脱甲酯、Ni催化交叉偶联、氧化、酯化及保护基脱除等化学转化,最终由三取代烯烃5为原料,分别以七步和六步完成了isoscopariusins B和C的仿生合成。该研究工作不仅实现了两个化合物绝对构型的确证,同时也为其后续的生物活性研究奠定了重要的物质基础。
图1 帚状香茶中所发现的杂二萜isoscopariusins B和C
图2 Isoscopariusins B和C的仿生合成
图3 文章封面
相关研究成果以Cyclobutane-Containing Meroditerpenoids, (+)-Isoscopariusins B and C: Structure Elucidation and Biomimetic Synthesis为题,在有机化学权威期刊Organic Letters以Supplementary Cover Article(图3)形式发表(2023, 25, 2981-2985)。李明祥博士研究生和颜秉超副研究员为论文共同第一作者,普诺·白玛丹增研究员为论文通讯作者。本研究工作得到了NSFC-云南联合基金项目(U2002221)、云南省基础研究重点项目(202201BC070002)、中科院2019年度交叉团队-重点实验室合作研究专项“西部之光”项目、国家自然科学基金(22007089)及云南省国家自然科学基金(202001AT070074)的联合资助。
