云南天文台在超爱丁顿吸积盘的研究上获进展
近日,中国科学院云南天文台双星与变星研究团组焦承亮副研究员对超爱丁顿吸积盘内流和外流区域中的能量输运机制进行了研究,发现内流区域中半径方向的径移(advection)是一种加热机制而不是经典模型中通常认为的冷却机制;内流中无法在当地被冷却的能量会被物质携带着向吸积盘表面运动,表现为垂向径移带来的冷却,最终能量会在吸积盘表面附近辐射掉或者被外流携带走;这也导致经典模型中的“光子俘获”效应被抑制,使得超爱丁顿吸积盘的辐射效率会大于经典模型的预测。该成果以“Study of Advective Energy Transport in the Inflow and Outflow of Super-Eddington Accretion Flows”为题发表在国际学术期刊《天体物理学杂志》(The Astrophysical Journal)上。
爱丁顿光度是天体在球对称吸积时辐射压力和引力平衡时对应的光度,通常被看作天体吸积过程中辐射光度的上限。当吸积物质存在初始角动量时,往往会形成吸积盘;此时辐射压力的方向垂直于盘面,不再和引力处于同一条直线上。因此,当吸积率足够大时,吸积盘的辐射光度可以超过爱丁顿光度,被称为超爱丁顿吸积盘。近期的一些研究发现,大部分超亮X射线源(ULX)是超爱丁顿吸积的恒星级质量黑洞,并且存在着很强的外流;但是经典吸积盘理论中对应于超爱丁顿吸积的slim盘模型没有考虑外流,存在着亟待解决的问题。
为了研究含有外流的超爱丁顿吸积盘,研究人员在球坐标系下对流体动力学方程进行了分解,在半径方向上使用自相似假设进行了简化,从而可以详细的求解垂向上的结构并允许外流的产生。和其他吸积盘二维自相似解相比,考虑到超爱丁顿吸积过程中的强辐射,研究人员对能量方程没有采用径移因子的简化处理,而是详细求解了辐射转移方程。结果发现,和经典slim盘模型中的“径移冷却”不同,吸积盘的内流区域随着物质在吸积过程中被压缩,能量机制上呈现为“径移加热”;同时,物质在垂向上向吸积盘表面流动,也使得经典模型中的“光子俘获”效应被抑制。而在外流区域中,物质向外运动并带走能量,呈现为一种冷却机制,同时物质在靠近吸积盘表面的位置放出大量辐射。这些能量的来源本质上是内流区域中当地无法有效冷却的能量,最终通过物质在垂向上的流动(垂向径移)携带到了吸积盘表面并通过外流和辐射进行冷却,整体上满足能量守恒。此外,新模型计算出的辐射效率远大于经典slim盘的辐射效率,这和近期一些含时数值模拟的结果一致,并可能对解释ULX中观测到的超高光度提供新的思路。
该研究得到国家自然科学基金青年项目的资助。

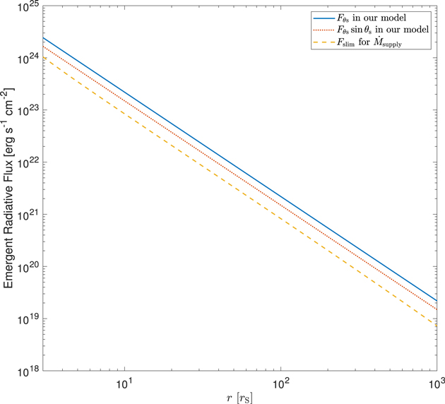
图:相同物质供给率下,新模型和经典slim盘模型中辐射通量随吸积盘半径的变化。其中橙色的短划线代表的是slim盘模型的辐射通量,蓝色实线是新模型在垂向上的辐射通量,红色点线是考虑了新模型中出射面积变小的修正后的辐射通量。纵坐标是对数格式,可以看到新模型辐射通量明显大于slim盘模型,代表了更高的辐射效率。
