云南天文台对明亮活动星系核的X射线辐射机制研究取得进展
近日,国际天文学术期刊《皇家天文学会月报》(Monthly Notices of the Royal Astronomical Society,MNRAS)在线发表了中国科学院云南天文台刘杰英博士、毛基荣研究员以及国家天文台刘碧芳研究员共同合作完成的最新研究成果。该工作首次应用热电子和非热电子共存的盘冕磁耦合吸积流,解释了明亮活动星系核中较平的X射线辐射能谱(其硬X射线光子指数 2-10keV小于2.1)。
活动星系核中心超大质量黑洞的吸积过程是其多波段电磁辐射的主要能量来源,也是黑洞增长和星系演化的重要因素。对于明亮活动星系核,目前普遍认为是由几何薄、光学厚的吸积盘与几何厚、光学薄的热冕共同吸积。吸积盘产生光学/紫外辐射,其在穿过冕时,部分光子被冕内高温电子逆康普顿散射产生X射线辐射。但是,盘冕耦合机制、冕的形成以及能量来源等问题尚未清楚,一直是天文研究的热点。
借鉴日冕加热机制,该项研究的合作者-国家天文台刘碧芳研究员早年构建了仅含热电子的盘冕磁耦合吸积流模型。该模型认为盘吸积所释放的能量的一部分存储于磁环中,磁环由于浮力不稳定性上浮到冕中,在冕中与方向相反的磁环发生重联,将磁能变成冕气体热能,维持冕的高温、产生持续的强 X 射线辐射。但是,仅含热电子的盘冕磁耦合吸积流模型只能产生相对较陡(软)的X射线辐射谱( 2-10keV大于2.1),尚不能产生相对较平( 2-10keV小于2.1)的X射辐射谱。
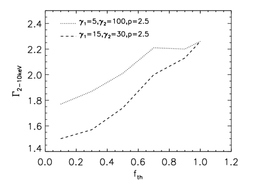
针对此问题,在最新的研究工作中,刘杰英博士等认为X射线冕内的磁重联过程会使得部分电子加速至非热分布,构建了热电子和非热电子共存的X射线冕模型。模型中,磁能一部分分配给热电子,剩余部分由非热电子携带。X射线冕经热电子和非热电子的逆康普顿散射冷却平衡。通过理论计算盘冕磁耦合吸积流的辐射谱,他们发现硬X射线辐射谱显著依赖于非热电子的能量占比以及分布形式(图1)。他们将理论计算的辐射谱与观测数据进行对比,确定了冕内非热电子的能量占比应该大于40%才能产生明亮活动星系核中较平的X射线辐射谱(图2)。

图1 X射线光子指数随能量比fth(热电子能量占比)的变化。图中对比了两组不同分布形式的非热电子的情形。对于相同电子分布,随着fth的减小,即热电子能量占比减小,非热电子能量占比增大,X射线光子指数减小(辐射谱变平)。

图2 理论模型与部分观测数据的对比。黑线为包含热电子和非热电子的盘冕磁耦合吸积流总辐射谱。点线为吸积盘及热电子的辐射谱,虚线为非热电子的辐射谱。灰色线为仅含热电子的盘冕磁耦合吸积流的总辐射谱。红色点为Swift卫星UVOT和XRT的观测数据。
将来结合X射线偏振望远镜观测数据,比如成像X射线偏振仪(IXPE)、POLAR-2以及增强型X射线时变和偏振探测器(eXTP),开展X射线冕的偏振理论研究,将有效限制磁重联加热冕的关键因素-磁场的特性,从而进一步确定X射线冕内电子的分布特性。
该研究受到科技部重点研发计划项目、国家自然科学基金委重点项目、面上项目、中国载人航天工程(CMS-CSST)科研基金、云南省兴滇英才支持计划-云岭学者专项和青年人才项目(已完成公示)、云南省基础研究计划面上项目、云南省国际超新星研究重点实验室资助。
