望天树叶功能性状沿不同树高垂直梯度的变异
热带森林生态系统具有非常复杂的群落结构、丰富的生物多样性和极其重要的生态意义。望天树(Parashorea chinensis),隶属于龙脑香科柳安属,是我国热带地区的标志性旗舰树种之一,以其巨大的碳储量和高效的固碳速率,在减缓 CO2 持续升高的过程中发挥着不可取代的作用。叶片是碳水耦合的重要器官,通过探究叶功能性状的差异能直观地反映望天树对环境变化的响应。然而目前涉及望天树功能性状的研究多集中于少数经济性状,有关多维性状组合的系统研究还较为欠缺。
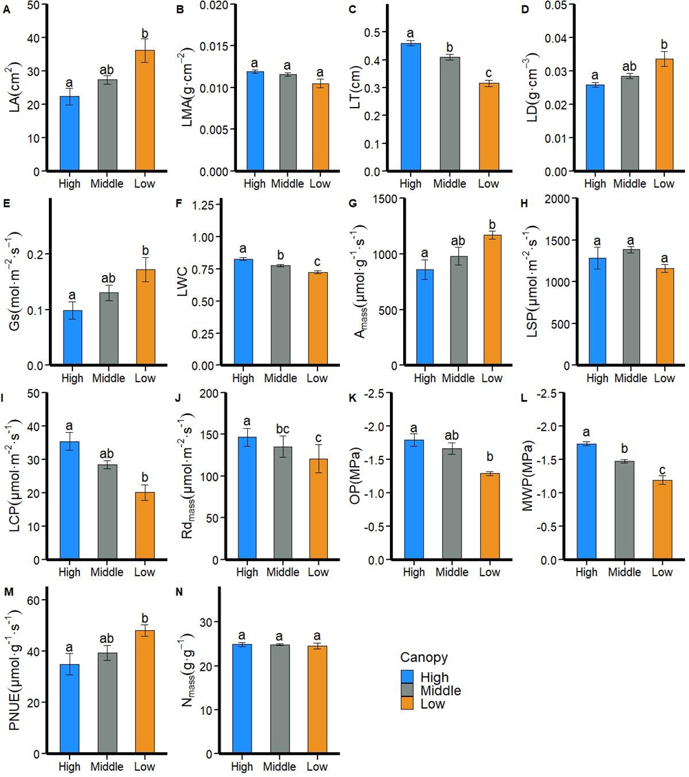
中国科学院西双版纳热带植物园(以下简称“版纳植物园”)西双版纳生态站依托林冠塔吊,对望天树个体尺度上不同树冠高度的形态结构、光合生理、水分生理和养分元素四类共计14个叶功能性状的变异性和相关性进行了研究。结果表明,望天树大部分叶片功能性状在个体尺度上存在显著差异。以形态结构性状为例,从树冠上层到树冠下层,叶面积、叶密度和气孔导度分别增加了1.16倍、1.29倍和1.73倍,而比叶重并无显著差异,这说明望天树在权衡碳平衡和叶寿命方面具有很高的灵活性以维持单位叶面积的投资成本。其次,望天树叶片的光合生理性状和叶片水力性状之间是解耦关系,不同类型的功能性状能够彼此独立变化,从而实现多维性状的组合。这说明望天树能够更自由地调整功能性状以适应特定的精细尺度环境,从而保持整体冠层性能以及增强其生态适应性。此外,不同的光合生理性状测量方式会显著影响测定参数的结果。该研究有助于进一步理解林冠树种对环境变化的生态适应策略和森林生物多样性的维持机制,为受损及退化的森林生态系统的修复与重建提供实践指导。
相关科研成果以Vertical variation in leaf functional traits of Parashorea chinensis with different canopy layers为题发表在期刊Frontiers in Plant Science上,版纳植物园西双版纳生态站的联培学生金楠为该论文第一作者,卢华正副研究员为该论文的通讯作者。该研究得到了国家自然科学基金、版纳植物园“十四五”规划、云南省万人计划青年拔尖人才专项、云南省应用基础研究计划等项目的资助。

图1:望天树个体尺度上3个树冠高度叶片功能性状的变异

图2:望天树不同类型叶片功能性状之间的相关性

图3:不同测量方法下望天树3个树冠高度叶片光响应曲线的参数。
