昆明植物所完成五味子降三萜(+)-Rubriflordilactone A的催化不对称全合成
近日,中国科学院昆明植物研究所杨玉荣研究员团队在国际著名期刊《美国化学会志》(J. Am. Chem. Soc.)发表了题为Ir-Catalyzed,Stereoselective Total Synthesis of (+)-Rubriflordilactone A的研究论文,报道了从简单易得原料出发,以24步反应实现复杂五味子降三萜 (+)-Rubriflordilactone A不对称合成新路线。
五味子降三萜(Schisandra nortriterpenoid)是我国著名植物化学家孙汉董院士领导发现的、能够代表中国植物化学研究国际水平、具有原创性、系统性的研究工作。由于其高度复杂的化学结构和优良的生物活性(抗HIV、抗肿瘤等),特别是含量极低,提取分离效率低,严重阻碍后续生物学药物化学等研究。近十余年,五味子降三萜化学合成受到国内外合成化学家的高度关注,涌现出一批优秀的研究成果。值得一提的是,2011年,我国杰出合成化学家北京大学杨震教授率先取得了五味子降三萜全合成零的突破,并长年坚持不懈地进行了卓有成效的系列合成。此外,上海有机所李昂、南开大学汤平平、浙江大学丁寒锋、上海有机所桂敬汉、兰州大学陈小明,英国牛津大学等多个国内外研究组均在此领域作出了重要贡献。
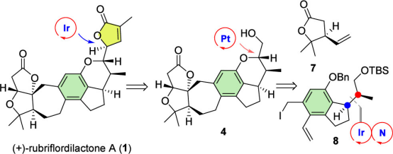
(+)-Rubriflordilactone A是由中国科学院昆明植物研究所孙汉董院士团队2006年从红花五味子(Schisandra rubriflora)中分离得到的含有独特多取代苯环的复杂七环三萜天然产物,具有7个手性中心和多个氧化态,如何快速构建其多取代芳环骨架并精确控制手性中心,尤其是C23的立体选择性控制,成为该降三萜全合成的主要难点。
基于近年来在创造性运用铱催化不对称烯丙基化反应进行复杂天然产物全合成研究兴趣 (Nat. Commun. 2024,10812; J. Am. Chem. Soc. 2024,1262; J. Am. Chem. Soc. 2021,20622; J. Am. Chem. Soc. 2017,3364; J. Am. Chem. Soc. 2016,2560; Angew. Chem. Int. Ed. 2016,4044), 杨玉荣团队巧妙设计了多种催化不对称反应,包括Krische的铱催化醇介导的2-(烷氧羰基)烯丙基化反应(用于后期5元内酯的生成,解决了长期以来无法控制C23位的立体专一性问题)、Carreira的铱/胺双催化烯丙基烷基化反应、用于区域选择性芳烃官能化的Catellani反应,以及Morken的铂催化烯烃双硼化/双羟基化反应。该合成路线具有独特的策略性,有力地展示了几种近期发展的催化不对称合成方法在复杂天然产物全合成中的不可替代性作用。

中国科学院昆明植物研究所杨玉荣研究员为本文唯一通讯作者,中国科学院昆明植物研究所为本文唯一通讯单位,中国科学院昆明植物研究所刘俊杰博士生、倪治彬博士生为该论文的共同第一作者。上述工作得到了国家自然科学基金(U23A2082,22171274)、云南省“兴滇英才支持计划”云岭学者专项(XDYC-YLXZ-2023-0028)的资助。
作者:杨玉荣
