云南天文台在恒星锂丰度问题的物理成因研究方面取得进展
近期,中国科学院云南天文台恒星物理研究团组的李雪峰与合作者,在恒星锂丰度问题的物理机制研究中取得重要突破,对恒星锂丰度的演化描绘出更为完整的理论图景。
锂是研究恒星内部混合和热核反应的重要媒介,其丰度演化对理解恒星内部混合过程、物质交换及化学演化至关重要。然而,理论与观测在多个场景下存在系统性矛盾,构成了恒星锂丰度问题矩阵。
主序锂衰竭:星族I恒星在主序阶段存在两类问题,一是太阳类似物锂丰度随演化衰竭的行为;二是疏散星团在7200-6200K的有效温度范围内出现的锂Dip现象(随有效温度降低出现的锂丰度先降低再增高行为)。
巨星反常锂增丰:标准模型预测,恒星在演化至红巨星阶段时会经历对流包层向内侵蚀过程,表面锂卷入高温区而被大幅稀释,难以维持较高丰度,但观测中却存在着相当数量的高锂丰度巨星。
宇宙锂问题:宇宙原初锂丰度是2.7dex,而对年老的贫金属恒星的观测表明存在着2.2dex的锂丰度上限(锂Plateau)。
为系统解释这些现象,研究团队引入了关键的非标准物理过程,为不同演化阶段锂丰度异常提供了具体且可检验的物理机制。
基于先前为解释富锂红团簇恒星所发展的子午环流模型(Li et al.,2025, ApJL,982,L4; 论文I),研究人员进一步检验了该机制在主序阶段的适用性。通过精细化数值模拟与等年龄线拟合,模型成功再现了太阳类似物锂丰度随年龄增长而衰减的观测关系(见下图1),并能在多数星团中复现锂dip特征(见下图2)。理论分析表明,子午环流所引起的混合效率与恒星自转速度的平方成正比:较低转速导致锂衰竭,而高速自转则可能促进锂增丰,这明确了自转速度在恒星锂丰度演化中的关键作用(Li et al.,2025,ApJ,991,149; 论文II)。
该研究将转动恒星内部普遍存在的子午环流机制应用于多类观测现象,为理解复杂的锂丰度分布提供了统一的理论框架。
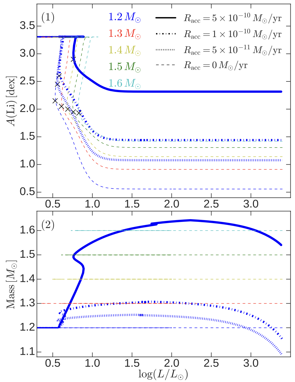
与此同时,考虑到外源性锂污染的可能性,研究团队构建了包含质量损失的低速率物质吸积模型(见下图3)。该模型指出,红巨星在演化过程中通过缓慢吸积周围物质所引起的质量增加,可有效抑制第一次挖掘期间表面锂的稀释与核燃烧损耗,从而实现锂的间接增丰。模型预测的锂丰度上限约为2.5 dex,与LAMOST(郭守敬望远镜)巡天中红巨星分支恒星的观测结果吻合。研究进一步评估了多种可能的物质来源,指出大质量恒星与渐近巨星分支恒星的星风物质损失,以及密近双星系统中的物质转移,均可为该吸积模型提供可观的物质供给(Li et al.,2025,ApJ,990,224;论文III)。
该研究系统耦合了弱物质吸积与结构演化,明确了质量增长影响锂丰度的微观物理过程。
上述研究结果均发表在国际天文学期刊《天体物理学杂志》(The Astrophysical Journal),成果得到国家自然科学基金委基础科学中心项目、重点项目、面上项目、国家重点研发计划项目等项目的资助。

图1: 太阳类似物锂丰度随主序年龄的演化。散点是观测样本,线条是模型的演化轨迹,输入速度分别是10和2公里每秒。

图2: 毕星团成员星锂丰度与有效温度。圆点是观测样本,线条是模型结果的等年龄拟合线。

图3: (1) 不同模型的锂丰度随光度的演化。(2) 对应于图(1)的模型质量随光度的演化。
